Notice
Recent Posts
Recent Comments
Link
| 일 | 월 | 화 | 수 | 목 | 금 | 토 |
|---|---|---|---|---|---|---|
| 1 | 2 | 3 | 4 | 5 | 6 | 7 |
| 8 | 9 | 10 | 11 | 12 | 13 | 14 |
| 15 | 16 | 17 | 18 | 19 | 20 | 21 |
| 22 | 23 | 24 | 25 | 26 | 27 | 28 |
| 29 | 30 | 31 |
Tags
- 병든 나이트#BOJ#탐욕법#Python
- Distinct#Codility#Python
- Swift#Tuples#Range
- 나무자르기#BOJ#이분탐색#Python
- 터틀비치#리콘#xbox#controller
- django#slicing
- 파이썬알고리즘인터뷰#4장
- Triangle#Sorting#Codility#Python
- 공유기 설치#BOJ#이분탐색#Python
- Brackets#Stacks and Queues#Codility#Python
- 랜선자르기#이분탐색#BOJ#Python
- 날짜 계산#BOJ#완전탐색#Python
- 미로 탐색#백준알고리즘#Python
- 배열합치기#분할정복#BOJ#Python
- django
- 토마토#백준알고리즘#Python
- 섬의개수#백준알고리즘#Python
- 텀 프로젝트#백준알고리즘#Python
- 반복수열#백준알고리즘#Python
- filter#isalnum#lower
- 리모컨#완전탐색#BOJ#Python
- PassingCars#Codility#Python
- 암호코드#dp#BOJ#Python
- 백준 알고리즘#BackTracking
- 종이자르기#분할정복#BOJ#Python
- NumberofDiscIntersections#Codility#Sort#Python
- N으로 표현#DP#Programmers#Python
- 순열사이클#BOJ#Python
- API#lazy#
- 쿼드트리#BOJ#분할정복#Python
Archives
- Today
- Total
B_log
백준 알고리즘 - 정수 삼각형(1932번)[Python] 본문
문제

문제 상황
- 선택을 하나 했을 때, 다음 선택을 할 수 있는 경우는 2가지 뿐이고 한 선택이 다른 선택에 영향을 주며 그 상황에서 최대 값 찾는 문제이므로 DP를 사용한다.
해결 전략
- 최대값을 담는 dp 리스트를 따로 만들어 문제의 dp를 담는다.
코드
|
1
2
3
4
5
6
7
8
9
10
11
12
13
14
15
16
17
|
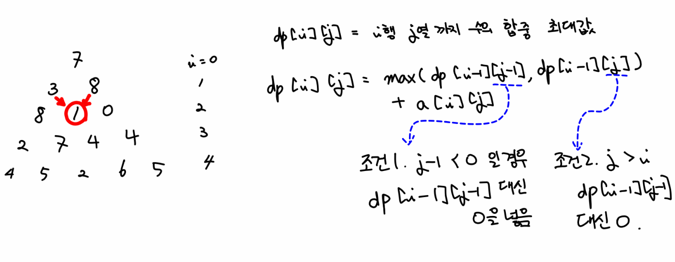
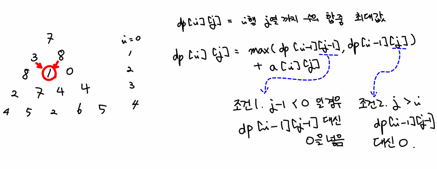
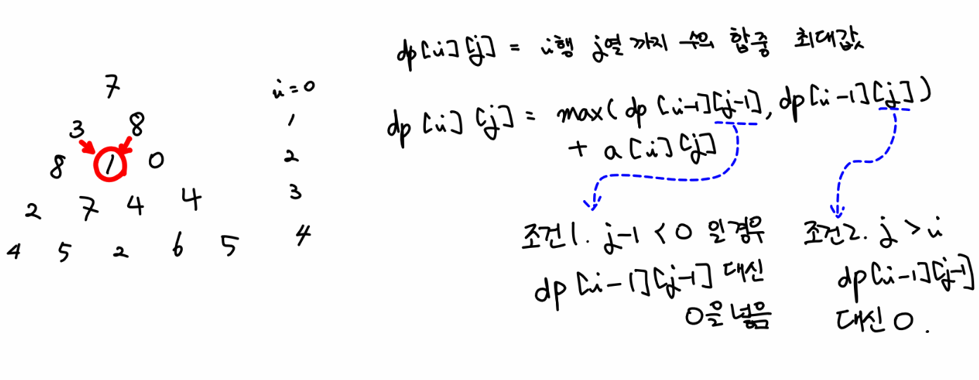
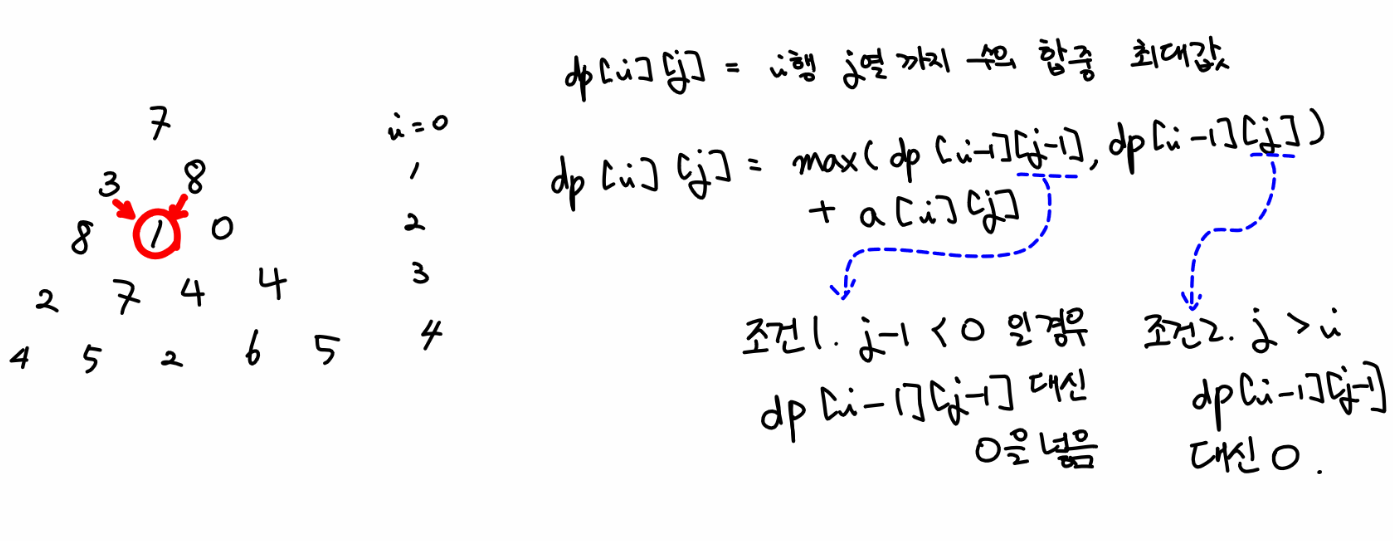
# dp[i][j] = i행 j열 까지의 합 중 최대가 되는 경우의 합
# a[i][j] = 주어진 삼각형을 담는 리스트
n = int(input())
a = [[0] for _ in range(n)]
for i in range(n):
a[i] = list(map(int, input().split()))
dp = [[0]*n for _ in range(n)]
dp[0][0] = a[0][0]
for i in range(1, n):
for j in range(i+1):
if j < 1 :
dp[i][j] = dp[i-1][j] + a[i][j]
elif j > i :
dp[i][j] = dp[i-1][j-1] + a[i][j]
else :
dp[i][j] = max(dp[i-1][j-1], dp[i-1][j]) + a[i][j]
print(max(dp[n-1]))
|
cs |
해설

새로 학습한 것 & 실수
- 배열을 하나만 쓰면 안된다. 하나의 선택지가 두가지 경우에 영향을 주기 때문에 배열이 갱신되면 결과를 바꿔버린다.
'알고리즘 학습 > 백준 알고리즘' 카테고리의 다른 글
| 백준 알고리즘 - 로또(6603번)[Python] (0) | 2020.05.12 |
|---|---|
| 백준 알고리즘 - 가장 큰 증가 부분 수열(11055번)[Python] (0) | 2020.05.01 |
| 백준 알고리즘 - 피보나치 함수(1003번)[Python] (0) | 2020.04.30 |
| 백준 알고리즘 - 평범한 배낭(12865번)[Python] (0) | 2020.04.29 |
| 백준 알고리즘 - 가장 긴 증가하는 부분수열(11053번)[Python] (0) | 2020.04.29 |