티스토리 뷰
반응형
문제

문제 상황
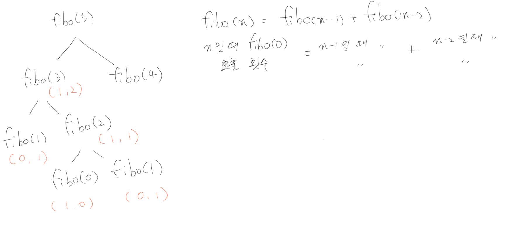
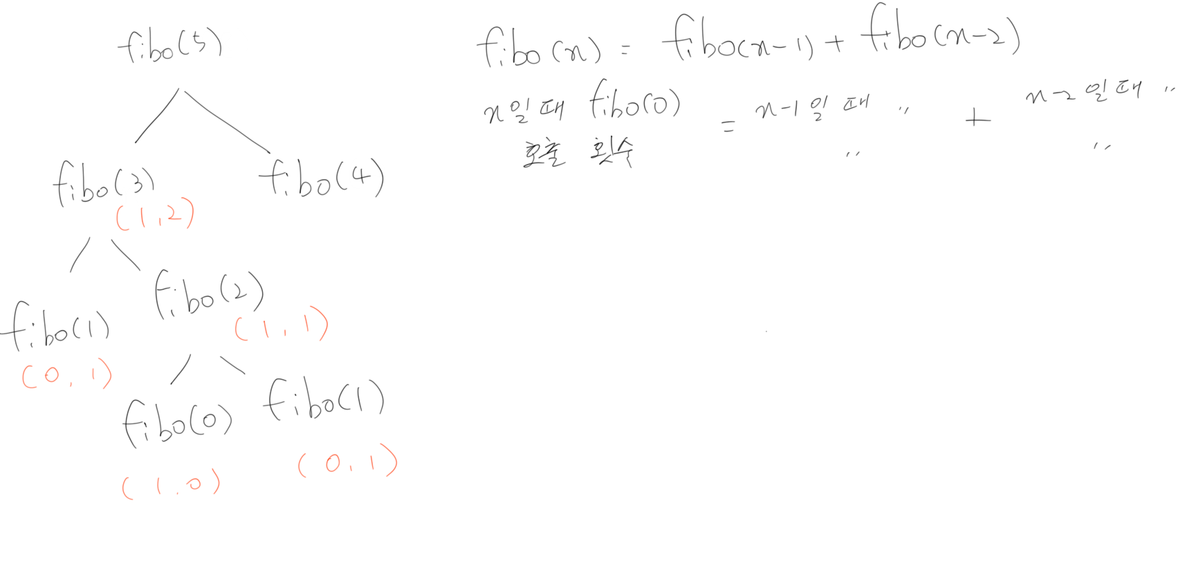
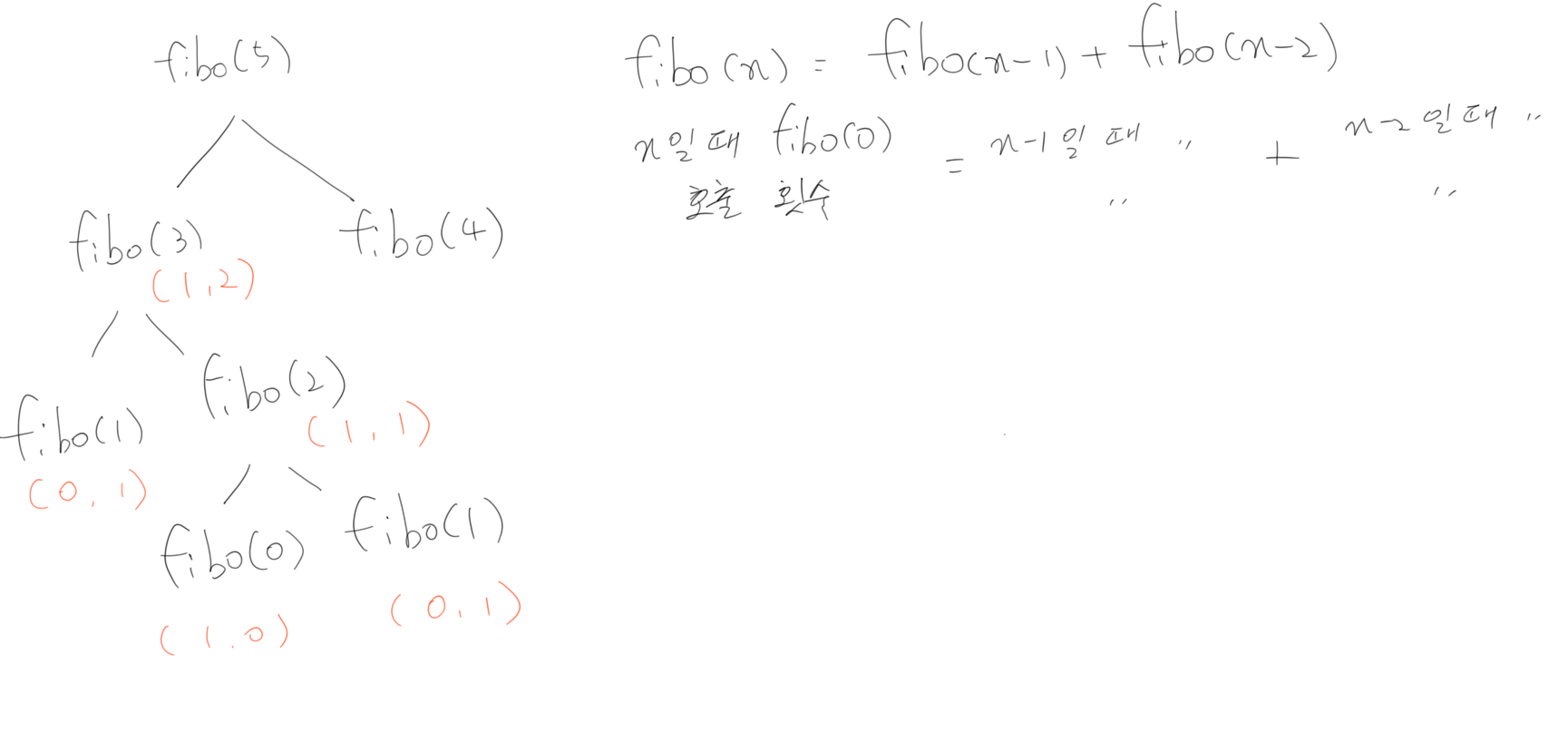
- 재귀를 사용하여 해당 fibo를 호출할 때마다 카운팅을 하면 중복이 발생하여 연산이 너무 느리고 시간초과가 된다. 캐쉬를 사용하여 dp를 쓰면 counting을 할 수 없다.
해결 전략
- 0과 1을 분리하여 보면 이 사용 횟수도 부분적으로 피보나치를 따른다.
코드
|
1
2
3
4
5
6
7
8
9
10
11
12
13
14
15
16
|
t = int(input()) # testcase num
tc = [] # testcase
for _ in range(t):
tc.append(int(input()))
def fibo(n):
cache = [[0, 0] for _ in range(n+1)]
if n == 0 :
return [1, 0]
cache[0] = [1, 0]
cache[1] = [0, 1]
for i in range(2, n+1):
cache[i] = [cache[i-1][0] + cache[i-2][0],cache[i-1][1] + cache[i-2][1]]
return cache[n]
for i in range(t):
tmp = fibo(tc[i])
print(tmp[0], tmp[1])
|
cs |
해설

새로 학습한 것 & 실수
- [x + y for x, y in zip(first, second)] -> 길이가 같은 두 리스트에 같은 위치 값들의 합으로 새로운 리스트 생성
- fibo 정의에서 n이 0 일 경우 cache[1]값이 존재하지 않으므로 if구문으로 0 일때를 처리하지 않으면 out of index error가 발생한다. try except로 하지 않고 if 구문으로 return 처리하였다.
반응형
'알고리즘 학습 > 백준 알고리즘' 카테고리의 다른 글
| 백준 알고리즘 - 가장 큰 증가 부분 수열(11055번)[Python] (0) | 2020.05.01 |
|---|---|
| 백준 알고리즘 - 정수 삼각형(1932번)[Python] (0) | 2020.04.30 |
| 백준 알고리즘 - 평범한 배낭(12865번)[Python] (0) | 2020.04.29 |
| 백준 알고리즘 - 가장 긴 증가하는 부분수열(11053번)[Python] (0) | 2020.04.29 |
| 백준 알고리즘 - RGB 거리 (1149번)[Python] (0) | 2020.04.28 |
댓글
반응형
공지사항
최근에 올라온 글
최근에 달린 댓글
- Total
- Today
- Yesterday
링크
TAG
- Brackets#Stacks and Queues#Codility#Python
- Distinct#Codility#Python
- 종이자르기#분할정복#BOJ#Python
- N으로 표현#DP#Programmers#Python
- 배열합치기#분할정복#BOJ#Python
- 나무자르기#BOJ#이분탐색#Python
- 터틀비치#리콘#xbox#controller
- PassingCars#Codility#Python
- 백준 알고리즘#BackTracking
- Swift#Tuples#Range
- 파이썬알고리즘인터뷰#4장
- API#lazy#
- 리모컨#완전탐색#BOJ#Python
- 순열사이클#BOJ#Python
- django
- 병든 나이트#BOJ#탐욕법#Python
- 쿼드트리#BOJ#분할정복#Python
- 텀 프로젝트#백준알고리즘#Python
- NumberofDiscIntersections#Codility#Sort#Python
- 토마토#백준알고리즘#Python
- 암호코드#dp#BOJ#Python
- 공유기 설치#BOJ#이분탐색#Python
- 반복수열#백준알고리즘#Python
- filter#isalnum#lower
- Triangle#Sorting#Codility#Python
- 랜선자르기#이분탐색#BOJ#Python
- django#slicing
- 날짜 계산#BOJ#완전탐색#Python
- 섬의개수#백준알고리즘#Python
- 미로 탐색#백준알고리즘#Python
| 일 | 월 | 화 | 수 | 목 | 금 | 토 |
|---|---|---|---|---|---|---|
| 1 | ||||||
| 2 | 3 | 4 | 5 | 6 | 7 | 8 |
| 9 | 10 | 11 | 12 | 13 | 14 | 15 |
| 16 | 17 | 18 | 19 | 20 | 21 | 22 |
| 23 | 24 | 25 | 26 | 27 | 28 | 29 |
| 30 |
글 보관함